oa Manama and Muharraq
Access full text
Chapter
- Authors: Prof. Spiro N. Pollalis and Nader Ardalan
- Source: Gulf Sustainable Urbanism – Past, Volume I , pp 114-195
- Publication Date: December 2018
- DOI: https://doi.org/10.5339/GSU.9789927118951_4
Full text loading...
/deliver/fulltext/9789927118951/9789927118951-ch03.html?itemId=/content/chapter/9789927118951.b_9789927118951-ch03&mimeType=html&fmt=ahah
Manama and Muharraq
Hamad bin Khalifa University Press (HBKU Press) , 114 (2018); https://doi.org/10.5339/GSU.9789927118951_4
/content/chapter/9789927118951.b_9789927118951-ch03
/content/chapter/9789927118951.b_9789927118951-ch03
View:
Figures
Figures
/content/figure/9789927118951.b_9789927118951-ch03.b-9789927118951_003-unfig1
Untitled
9789927118951/b-9789927118951_003-unfig1_thmb.gif
9789927118951/b-9789927118951_003-unfig1.gif
/content/figure/9789927118951.b_9789927118951-ch03.b-9789927118951_003-unfig2
Untitled
Muharraq 2012
-
▸
Area: 36 km2
▸
Population: 109,695
▸
3,047/km2
-
▸
Area: 66 km2
▸
Population: 329,510
▸
Density: 4,993/km2
9789927118951/b-9789927118951_003-unfig2_thmb.gif
9789927118951/b-9789927118951_003-unfig2.gif
Muharraq 2012
-
▸
Area: 36 km2
▸
Population: 109,695
▸
3,047/km2
-
▸
Area: 66 km2
▸
Population: 329,510
▸
Density: 4,993/km2
/content/figure/9789927118951.b_9789927118951-ch03.b-9789927118951_003-unfig3
Untitled
Manama 1951
-
▸
Area: 3,44 km2
▸
Population: 43,000
▸
Density: 12,500/km2
9789927118951/b-9789927118951_003-unfig3_thmb.gif
9789927118951/b-9789927118951_003-unfig3.gif
Manama 1951
-
▸
Area: 3,44 km2
▸
Population: 43,000
▸
Density: 12,500/km2
/content/figure/9789927118951.b_9789927118951-ch03.b-9789927118951_003-unfig4
Untitled
Muharraq 1955
-
▸
Area: 1.36 km2
▸
Population: 39,600
▸
Density: 29,118/km2
9789927118951/b-9789927118951_003-unfig4_thmb.gif
9789927118951/b-9789927118951_003-unfig4.gif
Muharraq 1955
-
▸
Area: 1.36 km2
▸
Population: 39,600
▸
Density: 29,118/km2
/content/figure/9789927118951.b_9789927118951-ch03.b-9789927118951_003-img3.1
IMAGE 3.1
Map of Bahrain, 1951
9789927118951/b-9789927118951_003-img1_thmb.gif
9789927118951/b-9789927118951_003-img1.gif
IMAGE 3.1
Map of Bahrain, 1951
/content/figure/9789927118951.b_9789927118951-ch03.b-9789927118951_003-fig3.1
FIGURE 3.1
Economic and political timelines of Manama and Muharraq
9789927118951/b-9789927118951_003-fig1_thmb.gif
9789927118951/b-9789927118951_003-fig1.gif
FIGURE 3.1
Economic and political timelines of Manama and Muharraq
/content/figure/9789927118951.b_9789927118951-ch03.b-9789927118951_003-fig3.2
FIGURE 3.2
Outdoor dry bulb temperature
9789927118951/b-9789927118951_003-fig2_thmb.gif
9789927118951/b-9789927118951_003-fig2.gif
FIGURE 3.2
Outdoor dry bulb temperature
/content/figure/9789927118951.b_9789927118951-ch03.b-9789927118951_003-fig3.3
FIGURE 3.3
Temperature and humidity variation
9789927118951/b-9789927118951_003-fig3_thmb.gif
9789927118951/b-9789927118951_003-fig3.gif
FIGURE 3.3
Temperature and humidity variation
/content/figure/9789927118951.b_9789927118951-ch03.b-9789927118951_003-fig3.4
FIGURE 3.4
Wind variations
9789927118951/b-9789927118951_003-fig4_thmb.gif
9789927118951/b-9789927118951_003-fig4.gif
FIGURE 3.4
Wind variations
/content/figure/9789927118951.b_9789927118951-ch03.b-9789927118951_003-fig3.5
FIGURE 3.5
Annual heat index and temperature profile
9789927118951/b-9789927118951_003-fig5_thmb.gif
9789927118951/b-9789927118951_003-fig5.gif
FIGURE 3.5
Annual heat index and temperature profile
/content/figure/9789927118951.b_9789927118951-ch03.b-9789927118951_003-img3.2
IMAGE 3.2
Islamic carved stone, 7th century CE
9789927118951/b-9789927118951_003-img2_thmb.gif
9789927118951/b-9789927118951_003-img2.gif
IMAGE 3.2
Islamic carved stone, 7th century CE
/content/figure/9789927118951.b_9789927118951-ch03.b-9789927118951_003-img3.3
IMAGE 3.3
Ships from Dilmun: relief tablet showing Ur-Nanshe, King of Lagash in Mesopotamia, 2500 BCE
9789927118951/b-9789927118951_003-img3_thmb.gif
9789927118951/b-9789927118951_003-img3.gif
IMAGE 3.3
Ships from Dilmun: relief tablet showing Ur-Nanshe, King of Lagash in Mesopotamia, 2500 BCE
/content/figure/9789927118951.b_9789927118951-ch03.b-9789927118951_003-img3.4
IMAGE 3.4
Barbar temples
9789927118951/b-9789927118951_003-img4_thmb.gif
9789927118951/b-9789927118951_003-img4.gif
IMAGE 3.4
Barbar temples
/content/figure/9789927118951.b_9789927118951-ch03.b-9789927118951_003-img3.5
IMAGE 3.5
Souq Al-Kharow in Muharraq, c. 1880
9789927118951/b-9789927118951_003-img5_thmb.gif
9789927118951/b-9789927118951_003-img5.gif
IMAGE 3.5
Souq Al-Kharow in Muharraq, c. 1880
/content/figure/9789927118951.b_9789927118951-ch03.b-9789927118951_003-img3.6
IMAGE 3.6
Muharraq Souq in the 1940s
9789927118951/b-9789927118951_003-img6_thmb.gif
9789927118951/b-9789927118951_003-img6.gif
IMAGE 3.6
Muharraq Souq in the 1940s
/content/figure/9789927118951.b_9789927118951-ch03.b-9789927118951_003-img3.7
IMAGE 3.7
Manama, view from the north in the 1940s
9789927118951/b-9789927118951_003-img7_thmb.gif
9789927118951/b-9789927118951_003-img7.gif
IMAGE 3.7
Manama, view from the north in the 1940s
/content/figure/9789927118951.b_9789927118951-ch03.b-9789927118951_003-img3.8
IMAGE 3.8
Muharraq port, c. 1919
9789927118951/b-9789927118951_003-img8_thmb.gif
9789927118951/b-9789927118951_003-img8.gif
IMAGE 3.8
Muharraq port, c. 1919
/content/figure/9789927118951.b_9789927118951-ch03.b-9789927118951_003-fig3.6
FIGURE 3.6
Timeline
The transition period from the historic past to the modern times for the cities of Manama and Muharraq in Bahrain is identified from the mid-1930s to the end of the 1940s. In these defining years, the city experienced the first commercialization of oil, development of modern road networks, first commercial flights, and major civil and social infrastructure projects, such as land reclamation and the Friday Mosque built by oil revenues. In 1951, there is the latest trace of the historic city core and the commencement of construction of waterfront highways and major arterial connections in the transportation network. In a similar case to Kuwait City, Manama started to experience the first traces of modernization in the decades of the 1910s and 1920s, an outcome of the strong commercial and trade hub that existed on the island. The influx of oil revenues during the 1930s was the deciding factor that pushed the city from its historic past to its modern period.
9789927118951/b-9789927118951_003-fig6_thmb.gif
9789927118951/b-9789927118951_003-fig6.gif
FIGURE 3.6
Timeline
The transition period from the historic past to the modern times for the cities of Manama and Muharraq in Bahrain is identified from the mid-1930s to the end of the 1940s. In these defining years, the city experienced the first commercialization of oil, development of modern road networks, first commercial flights, and major civil and social infrastructure projects, such as land reclamation and the Friday Mosque built by oil revenues. In 1951, there is the latest trace of the historic city core and the commencement of construction of waterfront highways and major arterial connections in the transportation network. In a similar case to Kuwait City, Manama started to experience the first traces of modernization in the decades of the 1910s and 1920s, an outcome of the strong commercial and trade hub that existed on the island. The influx of oil revenues during the 1930s was the deciding factor that pushed the city from its historic past to its modern period.
/content/figure/9789927118951.b_9789927118951-ch03.b-9789927118951_003-unfig5
Untitled
9789927118951/b-9789927118951_003-unfig5_thmb.gif
9789927118951/b-9789927118951_003-unfig5.gif
/content/figure/9789927118951.b_9789927118951-ch03.b-9789927118951_003-fig3.7
FIGURE 3.7
Trade network
9789927118951/b-9789927118951_003-fig7_thmb.gif
9789927118951/b-9789927118951_003-fig7.gif
FIGURE 3.7
Trade network
/content/figure/9789927118951.b_9789927118951-ch03.b-9789927118951_003-fig3.8
FIGURE 3.8
Economic model
9789927118951/b-9789927118951_003-fig8_thmb.gif
9789927118951/b-9789927118951_003-fig8.gif
FIGURE 3.8
Economic model
/content/figure/9789927118951.b_9789927118951-ch03.b-9789927118951_003-img3.9
IMAGE 3.9
Pearl divers at work
9789927118951/b-9789927118951_003-img9_thmb.gif
9789927118951/b-9789927118951_003-img9.gif
IMAGE 3.9
Pearl divers at work
/content/figure/9789927118951.b_9789927118951-ch03.b-9789927118951_003-img3.10
IMAGE 3.10
A pearling boat
9789927118951/b-9789927118951_003-img10_thmb.gif
9789927118951/b-9789927118951_003-img10.gif
IMAGE 3.10
A pearling boat
/content/figure/9789927118951.b_9789927118951-ch03.b-9789927118951_003-fig3.9
FIGURE 3.9
Marine habitats and pearling
9789927118951/b-9789927118951_003-fig9_thmb.gif
9789927118951/b-9789927118951_003-fig9.gif
FIGURE 3.9
Marine habitats and pearling
/content/figure/9789927118951.b_9789927118951-ch03.b-9789927118951_003-unfig6
Untitled
9789927118951/b-9789927118951_003-unfig6_thmb.gif
9789927118951/b-9789927118951_003-unfig6.gif
/content/figure/9789927118951.b_9789927118951-ch03.b-9789927118951_003-fig3.10
FIGURE 3.10
Ecosystems and topography profile
9789927118951/b-9789927118951_003-fig10_thmb.gif
9789927118951/b-9789927118951_003-fig10.gif
FIGURE 3.10
Ecosystems and topography profile
/content/figure/9789927118951.b_9789927118951-ch03.b-9789927118951_003-fig3.11
FIGURE 3.11
Land resources, 1951
9789927118951/b-9789927118951_003-fig11_thmb.gif
9789927118951/b-9789927118951_003-fig11.gif
FIGURE 3.11
Land resources, 1951
/content/figure/9789927118951.b_9789927118951-ch03.b-9789927118951_003-fig3.12
FIGURE 3.12
Habitats and species
9789927118951/b-9789927118951_003-fig12_thmb.gif
9789927118951/b-9789927118951_003-fig12.gif
FIGURE 3.12
Habitats and species
/content/figure/9789927118951.b_9789927118951-ch03.b-9789927118951_003-fig3.13
FIGURE 3.13
Evolution of the coastline
9789927118951/b-9789927118951_003-fig13_thmb.gif
9789927118951/b-9789927118951_003-fig13.gif
FIGURE 3.13
Evolution of the coastline
/content/figure/9789927118951.b_9789927118951-ch03.b-9789927118951_003-img3.11
IMAGE 3.11
Manama, 1968
9789927118951/b-9789927118951_003-img11_thmb.gif
9789927118951/b-9789927118951_003-img11.gif
IMAGE 3.11
Manama, 1968
/content/figure/9789927118951.b_9789927118951-ch03.b-9789927118951_003-img3.12
IMAGE 3.12
Muharraq, 1968
9789927118951/b-9789927118951_003-img12_thmb.gif
9789927118951/b-9789927118951_003-img12.gif
IMAGE 3.12
Muharraq, 1968
/content/figure/9789927118951.b_9789927118951-ch03.b-9789927118951_003-fig3.14
FIGURE 3.14
Water depth between Manama and Muharraq
9789927118951/b-9789927118951_003-fig14_thmb.gif
9789927118951/b-9789927118951_003-fig14.gif
FIGURE 3.14
Water depth between Manama and Muharraq
/content/figure/9789927118951.b_9789927118951-ch03.b-9789927118951_003-fig3.15
FIGURE 3.15
Regional hydrology
9789927118951/b-9789927118951_003-fig15_thmb.gif
9789927118951/b-9789927118951_003-fig15.gif
FIGURE 3.15
Regional hydrology
/content/figure/9789927118951.b_9789927118951-ch03.b-9789927118951_003-fig3.16
FIGURE 3.16
Map of Bahrain, 1951
9789927118951/b-9789927118951_003-fig16_thmb.gif
9789927118951/b-9789927118951_003-fig16.gif
FIGURE 3.16
Map of Bahrain, 1951
/content/figure/9789927118951.b_9789927118951-ch03.b-9789927118951_003-fig3.17
FIGURE 3.17
Urban parcels in Bahrain, 1953
9789927118951/b-9789927118951_003-fig17_thmb.gif
9789927118951/b-9789927118951_003-fig17.gif
FIGURE 3.17
Urban parcels in Bahrain, 1953
/content/figure/9789927118951.b_9789927118951-ch03.b-9789927118951_003-fig3.18
FIGURE 3.18
Evolution of the urban form
9789927118951/b-9789927118951_003-fig18_thmb.gif
9789927118951/b-9789927118951_003-fig18.gif
FIGURE 3.18
Evolution of the urban form
/content/figure/9789927118951.b_9789927118951-ch03.b-9789927118951_003-fig3.18a
Untitled
9789927118951/b-9789927118951_003-fig18a_thmb.gif
9789927118951/b-9789927118951_003-fig18a.gif
/content/figure/9789927118951.b_9789927118951-ch03.b-9789927118951_003-fig3.19
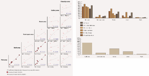
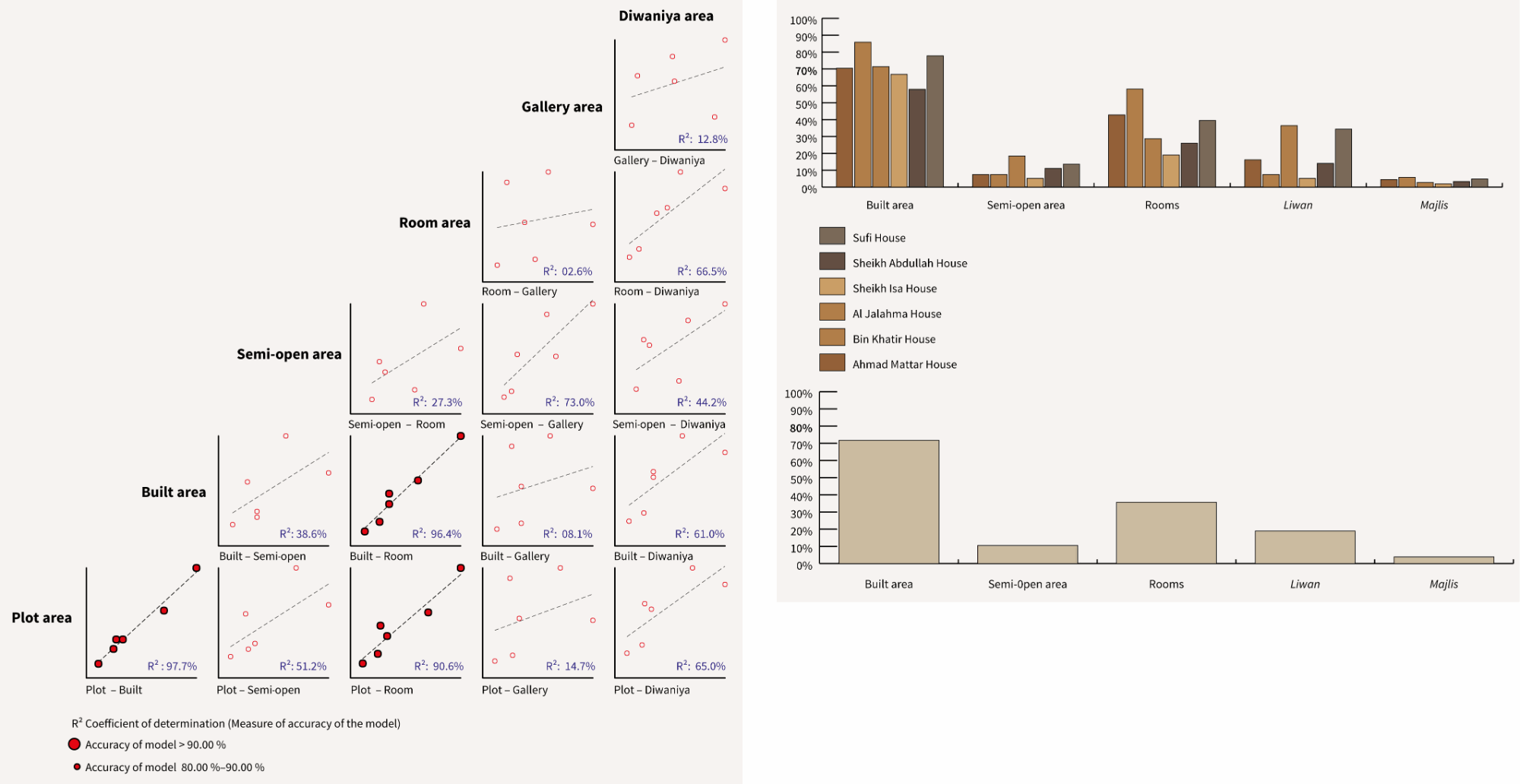
FIGURE 3.19
City evolution index
9789927118951/b-9789927118951_003-fig19_thmb.gif
9789927118951/b-9789927118951_003-fig19.gif
FIGURE 3.19
City evolution index
/content/figure/9789927118951.b_9789927118951-ch03.b-9789927118951_003-fig3.20
FIGURE 3.20
Area growth versus population growth
9789927118951/b-9789927118951_003-fig20_thmb.gif
9789927118951/b-9789927118951_003-fig20.gif
FIGURE 3.20
Area growth versus population growth
/content/figure/9789927118951.b_9789927118951-ch03.b-9789927118951_003-fig3.21
FIGURE 3.21
Seafront versus city perimeter
9789927118951/b-9789927118951_003-fig21_thmb.gif
9789927118951/b-9789927118951_003-fig21.gif
FIGURE 3.21
Seafront versus city perimeter
/content/figure/9789927118951.b_9789927118951-ch03.b-9789927118951_003-fig3.22
FIGURE 3.22
City growth, 1810–1953
9789927118951/b-9789927118951_003-fig22_thmb.gif
9789927118951/b-9789927118951_003-fig22.gif
FIGURE 3.22
City growth, 1810–1953
/content/figure/9789927118951.b_9789927118951-ch03.b-9789927118951_003-fig3.23
FIGURE 3.23
City’s context
9789927118951/b-9789927118951_003-fig23_thmb.gif
9789927118951/b-9789927118951_003-fig23.gif
FIGURE 3.23
City’s context
/content/figure/9789927118951.b_9789927118951-ch03.b-9789927118951_003-fig3.24
FIGURE 3.24
Water resources
9789927118951/b-9789927118951_003-fig24_thmb.gif
9789927118951/b-9789927118951_003-fig24.gif
FIGURE 3.24
Water resources
/content/figure/9789927118951.b_9789927118951-ch03.b-9789927118951_003-fig3.25
FIGURE 3.25
Evolution of the coastline and land reclamation
9789927118951/b-9789927118951_003-fig25_thmb.gif
9789927118951/b-9789927118951_003-fig25.gif
FIGURE 3.25
Evolution of the coastline and land reclamation
/content/figure/9789927118951.b_9789927118951-ch03.b-9789927118951_003-fig3.26
FIGURE 3.26
Proximity to the seafront
9789927118951/b-9789927118951_003-fig26_thmb.gif
9789927118951/b-9789927118951_003-fig26.gif
FIGURE 3.26
Proximity to the seafront
/content/figure/9789927118951.b_9789927118951-ch03.b-9789927118951_003-img3.13
IMAGE 3.13
The Manama seafront in the 1920s
9789927118951/b-9789927118951_003-img13_thmb.gif
9789927118951/b-9789927118951_003-img13.gif
IMAGE 3.13
The Manama seafront in the 1920s
/content/figure/9789927118951.b_9789927118951-ch03.b-9789927118951_003-fig3.27
FIGURE 3.27
Sea and land accessibilities
9789927118951/b-9789927118951_003-fig27_thmb.gif
9789927118951/b-9789927118951_003-fig27.gif
FIGURE 3.27
Sea and land accessibilities
/content/figure/9789927118951.b_9789927118951-ch03.b-9789927118951_003-unfig7
Untitled
9789927118951/b-9789927118951_003-unfig7_thmb.gif
9789927118951/b-9789927118951_003-unfig7.gif
/content/figure/9789927118951.b_9789927118951-ch03.b-9789927118951_003-fig3.28
FIGURE 3.28
City built fabric, 1953
9789927118951/b-9789927118951_003-fig28_thmb.gif
9789927118951/b-9789927118951_003-fig28.gif
FIGURE 3.28
City built fabric, 1953
/content/figure/9789927118951.b_9789927118951-ch03.b-9789927118951_003-fig3.29
FIGURE 3.29
‘Arish structures and masonry buildings
9789927118951/b-9789927118951_003-fig29_thmb.gif
9789927118951/b-9789927118951_003-fig29.gif
FIGURE 3.29
‘Arish structures and masonry buildings
/content/figure/9789927118951.b_9789927118951-ch03.b-9789927118951_003-fig3.30
FIGURE 3.30
City points of reference
9789927118951/b-9789927118951_003-fig30_thmb.gif
9789927118951/b-9789927118951_003-fig30.gif
FIGURE 3.30
City points of reference
/content/figure/9789927118951.b_9789927118951-ch03.b-9789927118951_003-unfig8
Untitled
9789927118951/b-9789927118951_003-unfig8_thmb.gif
9789927118951/b-9789927118951_003-unfig8.gif
/content/figure/9789927118951.b_9789927118951-ch03.b-9789927118951_003-unfig9
Untitled
9789927118951/b-9789927118951_003-unfig9_thmb.gif
9789927118951/b-9789927118951_003-unfig9.gif
/content/figure/9789927118951.b_9789927118951-ch03.b-9789927118951_003-fig3.31
FIGURE 3.31
Souq analysis
9789927118951/b-9789927118951_003-fig31_thmb.gif
9789927118951/b-9789927118951_003-fig31.gif
FIGURE 3.31
Souq analysis
/content/figure/9789927118951.b_9789927118951-ch03.b-9789927118951_003-unfig10
Untitled
9789927118951/b-9789927118951_003-unfig10_thmb.gif
9789927118951/b-9789927118951_003-unfig10.gif
/content/figure/9789927118951.b_9789927118951-ch03.b-9789927118951_003-unfig11
Untitled
9789927118951/b-9789927118951_003-unfig11_thmb.gif
9789927118951/b-9789927118951_003-unfig11.gif
/content/figure/9789927118951.b_9789927118951-ch03.b-9789927118951_003-fig3.32
FIGURE 3.32
Activities by zones, 1940s
9789927118951/b-9789927118951_003-fig32_thmb.gif
9789927118951/b-9789927118951_003-fig32.gif
FIGURE 3.32
Activities by zones, 1940s
/content/figure/9789927118951.b_9789927118951-ch03.b-9789927118951_003-fig3.33
FIGURE 3.33
Buildings typologies, 1940s
9789927118951/b-9789927118951_003-fig33_thmb.gif
9789927118951/b-9789927118951_003-fig33.gif
FIGURE 3.33
Buildings typologies, 1940s
/content/figure/9789927118951.b_9789927118951-ch03.b-9789927118951_003-fig3.34
FIGURE 3.34
Configuration study
9789927118951/b-9789927118951_003-fig34_thmb.gif
9789927118951/b-9789927118951_003-fig34.gif
FIGURE 3.34
Configuration study
/content/figure/9789927118951.b_9789927118951-ch03.b-9789927118951_003-fig3.35
FIGURE 3.35
Names and locations of neighbourhoods
9789927118951/b-9789927118951_003-fig35_thmb.gif
9789927118951/b-9789927118951_003-fig35.gif
FIGURE 3.35
Names and locations of neighbourhoods
/content/figure/9789927118951.b_9789927118951-ch03.b-9789927118951_003-fig3.36
FIGURE 3.36
Neighbourhood subdivision analysis
9789927118951/b-9789927118951_003-fig36_thmb.gif
9789927118951/b-9789927118951_003-fig36.gif
FIGURE 3.36
Neighbourhood subdivision analysis
/content/figure/9789927118951.b_9789927118951-ch03.b-9789927118951_003-unfig12
Untitled
9789927118951/b-9789927118951_003-unfig12_thmb.gif
9789927118951/b-9789927118951_003-unfig12.gif
/content/figure/9789927118951.b_9789927118951-ch03.b-9789927118951_003-fig3.37
FIGURE 3.37
Urban textures
9789927118951/b-9789927118951_003-fig37_thmb.gif
9789927118951/b-9789927118951_003-fig37.gif
FIGURE 3.37
Urban textures
/content/figure/9789927118951.b_9789927118951-ch03.b-9789927118951_003-fig3.37a
Untitled
9789927118951/b-9789927118951_003-fig37a_thmb.gif
9789927118951/b-9789927118951_003-fig37a.gif
/content/figure/9789927118951.b_9789927118951-ch03.b-9789927118951_003-fig3.38
FIGURE 3.38
Selected neighbourhood: Al-bin Khatir
9789927118951/b-9789927118951_003-fig38_thmb.gif
9789927118951/b-9789927118951_003-fig38.gif
FIGURE 3.38
Selected neighbourhood: Al-bin Khatir
/content/figure/9789927118951.b_9789927118951-ch03.b-9789927118951_003-fig3.39
FIGURE 3.39
Neighbourhood analysis: Al-bin Khatir
9789927118951/b-9789927118951_003-fig39_thmb.gif
9789927118951/b-9789927118951_003-fig39.gif
FIGURE 3.39
Neighbourhood analysis: Al-bin Khatir
/content/figure/9789927118951.b_9789927118951-ch03.b-9789927118951_003-fig3.40
FIGURE 3.40
Neighbourhood analysis: Al-bin Khatir
9789927118951/b-9789927118951_003-fig40_thmb.gif
9789927118951/b-9789927118951_003-fig40.gif
FIGURE 3.40
Neighbourhood analysis: Al-bin Khatir
/content/figure/9789927118951.b_9789927118951-ch03.b-9789927118951_003-fig3.40a
Untitled
9789927118951/b-9789927118951_003-fig40a_thmb.gif
9789927118951/b-9789927118951_003-fig40a.gif
/content/figure/9789927118951.b_9789927118951-ch03.b-9789927118951_003-fig3.41
FIGURE 3.41
Proximity to the mosque
9789927118951/b-9789927118951_003-fig41_thmb.gif
9789927118951/b-9789927118951_003-fig41.gif
FIGURE 3.41
Proximity to the mosque
/content/figure/9789927118951.b_9789927118951-ch03.b-9789927118951_003-fig3.42
FIGURE 3.42
Movement network
9789927118951/b-9789927118951_003-fig42_thmb.gif
9789927118951/b-9789927118951_003-fig42.gif
FIGURE 3.42
Movement network
/content/figure/9789927118951.b_9789927118951-ch03.b-9789927118951_003-unfig13
Untitled
9789927118951/b-9789927118951_003-unfig13_thmb.gif
9789927118951/b-9789927118951_003-unfig13.gif
/content/figure/9789927118951.b_9789927118951-ch03.b-9789927118951_003-unfig13a
Untitled
9789927118951/b-9789927118951_003-unfig13a_thmb.gif
9789927118951/b-9789927118951_003-unfig13a.gif
/content/figure/9789927118951.b_9789927118951-ch03.b-9789927118951_003-img3.14
IMAGE 3.14
‘Arish structures in Bahrain
9789927118951/b-9789927118951_003-img14_thmb.gif
9789927118951/b-9789927118951_003-img14.gif
IMAGE 3.14
‘Arish structures in Bahrain
/content/figure/9789927118951.b_9789927118951-ch03.b-9789927118951_003-fig3.43
FIGURE 3.43
Identification and documentation of units
9789927118951/b-9789927118951_003-fig43_thmb.gif
9789927118951/b-9789927118951_003-fig43.gif
FIGURE 3.43
Identification and documentation of units
/content/figure/9789927118951.b_9789927118951-ch03.b-9789927118951_003-unfig14
Untitled
9789927118951/b-9789927118951_003-unfig14_thmb.gif
9789927118951/b-9789927118951_003-unfig14.gif
/content/figure/9789927118951.b_9789927118951-ch03.b-9789927118951_003-unfig14a
Untitled
9789927118951/b-9789927118951_003-unfig14a_thmb.gif
9789927118951/b-9789927118951_003-unfig14a.gif
/content/figure/9789927118951.b_9789927118951-ch03.b-9789927118951_003-fig3.44
FIGURE 3.44
Plans and elevations
9789927118951/b-9789927118951_003-fig44_thmb.gif
9789927118951/b-9789927118951_003-fig44.gif
FIGURE 3.44
Plans and elevations
/content/figure/9789927118951.b_9789927118951-ch03.b-9789927118951_003-unfig14b
Untitled
9789927118951/b-9789927118951_003-unfig14b_thmb.gif
9789927118951/b-9789927118951_003-unfig14b.gif
/content/figure/9789927118951.b_9789927118951-ch03.b-9789927118951_003-img3.15
IMAGE 3.15
Views and details
9789927118951/b-9789927118951_003-img15_thmb.gif
9789927118951/b-9789927118951_003-img15.gif
IMAGE 3.15
Views and details
/content/figure/9789927118951.b_9789927118951-ch03.b-9789927118951_003-fig3.45
FIGURE 3.45
Plans and elevations
9789927118951/b-9789927118951_003-fig45_thmb.gif
9789927118951/b-9789927118951_003-fig45.gif
FIGURE 3.45
Plans and elevations
/content/figure/9789927118951.b_9789927118951-ch03.b-9789927118951_003-unfig15
Untitled
9789927118951/b-9789927118951_003-unfig15_thmb.gif
9789927118951/b-9789927118951_003-unfig15.gif
/content/figure/9789927118951.b_9789927118951-ch03.b-9789927118951_003-fig3.46
FIGURE 3.46
Plans and elevations
9789927118951/b-9789927118951_003-fig46_thmb.gif
9789927118951/b-9789927118951_003-fig46.gif
FIGURE 3.46
Plans and elevations
/content/figure/9789927118951.b_9789927118951-ch03.b-9789927118951_003-unfig16
Untitled
9789927118951/b-9789927118951_003-unfig16_thmb.gif
9789927118951/b-9789927118951_003-unfig16.gif
/content/figure/9789927118951.b_9789927118951-ch03.b-9789927118951_003-fig3.47
FIGURE 3.47
Plan and elevations
9789927118951/b-9789927118951_003-fig47_thmb.gif
9789927118951/b-9789927118951_003-fig47.gif
FIGURE 3.47
Plan and elevations
/content/figure/9789927118951.b_9789927118951-ch03.b-9789927118951_003-fig3.48
FIGURE 3.48
Plan and elevations
9789927118951/b-9789927118951_003-fig48_thmb.gif
9789927118951/b-9789927118951_003-fig48.gif
FIGURE 3.48
Plan and elevations
/content/figure/9789927118951.b_9789927118951-ch03.b-9789927118951_003-fig3.49
FIGURE 3.49
Configuration analysis
9789927118951/b-9789927118951_003-fig49_thmb.gif
9789927118951/b-9789927118951_003-fig49.gif
FIGURE 3.49
Configuration analysis
/content/figure/9789927118951.b_9789927118951-ch03.b-9789927118951_003-fig3.49a
Untitled
9789927118951/b-9789927118951_003-fig49a_thmb.gif
9789927118951/b-9789927118951_003-fig49a.gif
/content/figure/9789927118951.b_9789927118951-ch03.b-9789927118951_003-fig3.50
FIGURE 3.50
Floor area ratios
9789927118951/b-9789927118951_003-fig50_thmb.gif
9789927118951/b-9789927118951_003-fig50.gif
FIGURE 3.50
Floor area ratios
/content/figure/9789927118951.b_9789927118951-ch03.b-9789927118951_003-fig3.51
FIGURE 3.51
Visibility Graphs
9789927118951/b-9789927118951_003-fig51_thmb.gif
9789927118951/b-9789927118951_003-fig51.gif
FIGURE 3.51
Visibility Graphs
/content/figure/9789927118951.b_9789927118951-ch03.b-9789927118951_003-unfig17
Untitled
9789927118951/b-9789927118951_003-unfig17_thmb.gif
9789927118951/b-9789927118951_003-unfig17.gif
/content/figure/9789927118951.b_9789927118951-ch03.b-9789927118951_003-unfig18
Untitled
9789927118951/b-9789927118951_003-unfig18_thmb.gif
9789927118951/b-9789927118951_003-unfig18.gif
/content/figure/9789927118951.b_9789927118951-ch03.b-9789927118951_003-fig3.52
FIGURE 3.52
Justified Permeability Graphs
9789927118951/b-9789927118951_003-fig52_thmb.gif
9789927118951/b-9789927118951_003-fig52.gif
FIGURE 3.52
Justified Permeability Graphs
/content/figure/9789927118951.b_9789927118951-ch03.b-9789927118951_003-unfig19
Untitled
9789927118951/b-9789927118951_003-unfig19_thmb.gif
9789927118951/b-9789927118951_003-unfig19.gif
/content/figure/9789927118951.b_9789927118951-ch03.b-9789927118951_003-fig3.53
FIGURE 3.53
Shading analysis
9789927118951/b-9789927118951_003-fig53_thmb.gif
9789927118951/b-9789927118951_003-fig53.gif
FIGURE 3.53
Shading analysis
/content/figure/9789927118951.b_9789927118951-ch03.b-9789927118951_003-unfig20
Untitled
9789927118951/b-9789927118951_003-unfig20_thmb.gif
9789927118951/b-9789927118951_003-unfig20.gif
/content/figure/9789927118951.b_9789927118951-ch03.b-9789927118951_003-unfig20a
Untitled
9789927118951/b-9789927118951_003-unfig20a_thmb.gif
9789927118951/b-9789927118951_003-unfig20a.gif
/content/figure/9789927118951.b_9789927118951-ch03.b-9789927118951_003-fig3.54
FIGURE 3.54
Shading profile
9789927118951/b-9789927118951_003-fig54_thmb.gif
9789927118951/b-9789927118951_003-fig54.gif
FIGURE 3.54
Shading profile
/content/figure/9789927118951.b_9789927118951-ch03.b-9789927118951_003-fig3.55
FIGURE 3.55
Daylighting analysis
9789927118951/b-9789927118951_003-fig55_thmb.gif
9789927118951/b-9789927118951_003-fig55.gif
FIGURE 3.55
Daylighting analysis
/content/figure/9789927118951.b_9789927118951-ch03.b-9789927118951_003-fig3.56
FIGURE 3.56
Illuminance
9789927118951/b-9789927118951_003-fig56_thmb.gif
9789927118951/b-9789927118951_003-fig56.gif
FIGURE 3.56
Illuminance
/content/figure/9789927118951.b_9789927118951-ch03.b-9789927118951_003-fig3.57
FIGURE 3.57
Unit thermal analysis
9789927118951/b-9789927118951_003-fig57_thmb.gif
9789927118951/b-9789927118951_003-fig57.gif
FIGURE 3.57
Unit thermal analysis
/content/figure/9789927118951.b_9789927118951-ch03.b-9789927118951_003-fig3.58
FIGURE 3.58
Free running building
9789927118951/b-9789927118951_003-fig58_thmb.gif
9789927118951/b-9789927118951_003-fig58.gif
FIGURE 3.58
Free running building
-
From This Site
/content/chapter/9789927118951.b_9789927118951-ch03dcterms_subject,pub_keyword-contentType:Journal -contentType:Figure -contentType:Table -contentType:SupplementaryData105
/content/chapter/9789927118951.b_9789927118951-ch03
dcterms_subject,pub_keyword
-contentType:Journal -contentType:Figure -contentType:Table -contentType:SupplementaryData
10
5
Chapter
content/book/9789927118951
Book
true
en