1887
image of Figure 5. 
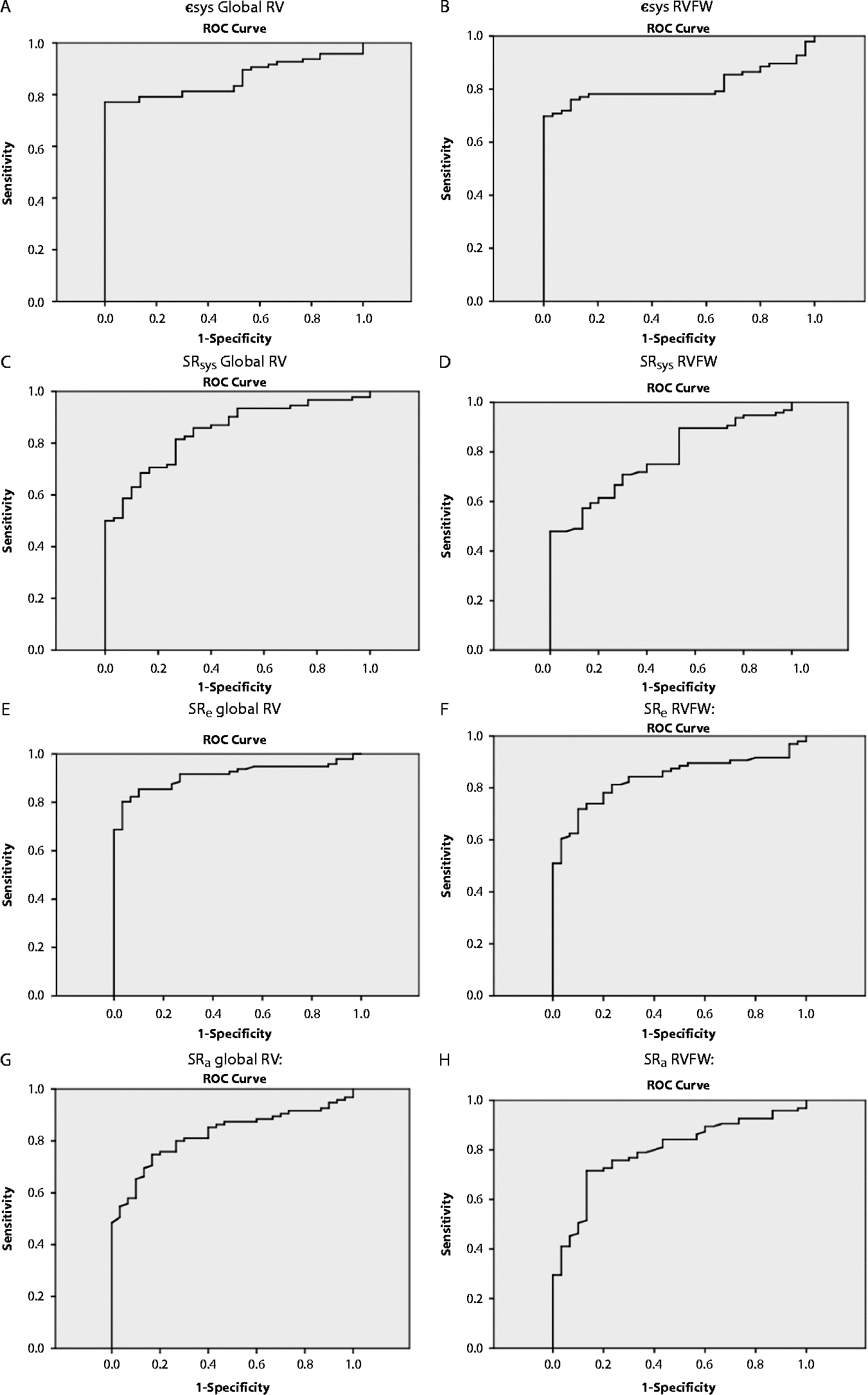
Figure 5.  ROC curve of global and RVFW deformation parameters has been plotted for differentiating HCM patients with RV dysfunction. (A) ϵ global RV; (B) ϵ RVFW; (C) SR global RV; (D) SR RVFW; (E) SR global RV; (F) SR RVFW; (G) SR global RV; and (H) SR RVFW. © 2013 Badran, Soliman, Hassan, Abdelfatah, Saadan, Yacoub, licensee Bloomsbury Qatar Foundation Journals.
Citation:
This is a required field
Please enter a valid email address
Approval was a Success
Invalid data
An Error Occurred
Approval was partially successful, following selected items could not be processed due to error